证券代码:600831 证券简称:广电网络 编号:临2024-023号 转债代码:110044 转债简称:广电转债
![]() |
![]() |
![]() |
![]() |
![]() |
本公司董事会及全体董事保证本公告内容不存在任何虚假记载、误导性陈述或者重大遗漏,并对其内容的真实性、准确性和完整性承担法律责任。
2024年4月12日,公司以书面方式通知召开第九届董事会第十五次会议。2024年4月15日,会议以通讯方式召开。应参会董事7人,实际参会董事7人,分别是王立强先生、冯忠义先生、谢林平先生、韩普先生、宋建武先生、穆随心先生、苏坤先生。会议的召集和召开符合《公司法》等有关法律、法规、规范性文件和《公司章程》的规定。
经与会董事投票表决,以7票同意、0票反对、0票弃权,审议通过《关于前期会计差错更正的议案》。
本项议案已经公司第九届董事会审计委员会第十二次会议审议通过。
本项议案还需提交股东大会审议。
详见公司同日发布的临2024-024号《关于前期会计差错更正的公告》。
特此公告。
陕西广电网络传媒(集团)股份有限公司
董 事 会
2024年4月16日
证券代码:600831 证券简称:广电网络 编号:临2024-026号
转债代码:110044 转债简称:广电转债
陕西广电网络传媒(集团)股份有限公司
股票交易异常波动公告
本公司董事会及全体董事保证本公告内容不存在任何虚假记载、误导性陈述或者重大遗漏,并对其内容的真实性、准确性和完整性承担法律责任。
重要内容提示:
● 本公司股票于2024年4月12日、4月15日、4月16日连续3个交易日内收盘价格跌幅偏离值累计超过20%,属于股票交易异常波动。
● 经公司向控股股东、实际控制人书面询证确认,控股股东、实际控制人均不存在应披露而未披露的重大事项和风险事项。
● 相关风险提示:
(1)公司于2023年12月26日发布《关于收到中国证监会立案告知书的公告》。公司因涉嫌信息披露违法违规,被证监会立案。立案调查期间,公司积极配合调查工作。截至目前,公司尚未收到证监会的结论性意见;公司经营活动正常开展。
(2)公司于2024年1月31日发布《2023年年度业绩预亏公告》,预计2023年年度实现归属于母公司所有者的净利润-53,000万元到-63,000万元。该业绩预告数据未经注册会计师审计,具体以公司正式披露的经审计后的2023年年度报告为准。
(3)公司于2023年10月31日发布《关于收到陕西证监局行政监管措施决定书的公告》。公司按照证监局责令改正要求,对2022年度财务报告进行会计差错更正,并相应修订2022年年度报告相关内容。详见公司临2024-024号《关于前期会计差错更正的公告》。
敬请广大投资者理性投资,注意投资风险。
一、股票交易异常波动的具体情况
本公司股票交易于2024年4月12日、4月15日、4月16日连续3个交易日内收盘价格跌幅偏离值累计超过20%,按照《上海证券交易所交易规则》有关规定,属于股票交易异常波动。
二、公司关注并核实的相关情况
(一)生产经营情况
公司目前经营情况正常,日常经营活动及外部环境没有发生重大变化。
(二)重大事项情况
经公司向控股股东陕西广电融媒体集团有限公司、实际控制人中共陕西省委宣传部发函询证确认,截至本公告日,公司控股股东、实际控制人均不存在应披露而未披露的重大信息,包括但不限于正在筹划涉及本公司的重大资产重组、股份发行、重大交易类事项、业务重组、股份回购、股权激励、破产重整、重大业务合作、引进战略投资者等重大事项和风险事项。
(三)媒体报道、市场传闻、热点概念情况
公司未发现可能或已经对公司股票交易价格产生影响的媒体报道或市场传闻及热点概念事项等。
(四)其他敏感信息
公司尚未发现其他有可能对公司股价产生较大影响的重大事件。
三、风险提示
(一)生产经营风险
公司于2024年1月31日发布临2024-008号《2023年年度业绩预亏公告》,预计2023年年度实现归属于母公司所有者的净利润-53,000万元到-63,000万元,与上年同期相比,将出现亏损;预计2023年年度实现归属于母公司所有者的扣除非经常性损益后的净利润-55,000万元到-65,000万元。以上预告数据仅为公司财务部门初步核算数据,未经注册会计师审计,具体准确的财务数据以公司正式披露的经审计后的2023年年度报告为准。
(二)其他风险
1.公司于2023年12月26日发布临2023-050号《关于收到中国证监会立案告知书的公告》。公司因涉嫌信息披露违法违规,被证监会立案。立案调查期间,公司积极配合调查工作。截至目前,公司尚未收到证监会的结论性意见。
2.公司于2023年10月31日发布临2023-040号《关于收到陕西证监局行政监管措施决定书的公告》。公司按照证监局责令改正要求,对2022年度财务报告进行会计差错更正,并相应修订2022年年度报告相关内容。其中,2022年度归属于上市公司股东的净利润由33,661,471.20元更正为9,957,743.87元。详见公司临2024-024号《关于前期会计差错更正的公告》。
3.本公司提醒广大投资者,本公司指定信息披露媒体为《上海证券报》《证券时报》《证券日报》和上海证券交易所网站(www.sse.com.cn),公司有关信息以公司在上述指定媒体披露的内容为准。敬请广大投资者理性投资,注意投资风险。
四、董事会声明
本公司董事会确认,本公司没有其他任何根据《股票上市规则》等有关规定应披露而未披露的事项或与该等事项有关的筹划、商谈、意向、协议等,董事会也未获悉根据《股票上市规则》等有关规定应披露而未披露的、对本公司股票及其衍生品种交易价格可能产生较大影响的信息。
特此公告。
陕西广电网络传媒(集团)股份有限公司
董 事 会
2024年4月16日
证券代码:600831 证券简称:广电网络 编号:临2024-024号
转债代码:110044 转债简称:广电转债
陕西广电网络传媒(集团)股份有限公司
关于前期会计差错更正的公告
本公司董事会及全体董事保证本公告内容不存在任何虚假记载、误导性陈述或者重大遗漏,并对其内容的真实性、准确性和完整性承担法律责任。
重要内容提示:
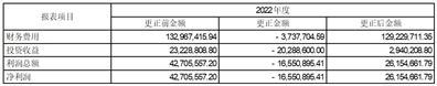
● 公司本次对2022年度财务报告进行会计差错更正,合并报表主要财务数据更正情况包括:2022年度归属于上市公司股东的净利润由33,661,471.20元更正为9,957,743.87元,2022年末总资产由11,627,322,548.78元更正为11,462,298,716.68元,2022年末归属于上市公司股东的净资产由3,792,386,716.45元更正为3,768,682,989.12元等。
● 公司于2023年12月25日收到中国证监会《立案告知书》。公司因涉嫌信息披露违法违规,被中国证监会立案。立案调查期间,公司积极配合调查工作。截至目前,公司尚未收到证监会的结论性意见。
一、概述
公司于2024年4月15日召开第九届董事会第十五次会议,审议通过《关于前期会计差错更正的议案》。同意公司按照陕西证监局行政监管措施决定书责令改正要求,根据《企业会计准则第28号一一会计政策、会计估计变更和差错更正》、证监会《公开发行证券的公司信息披露编报规则第19号一一财务信息的更正及相关披露》及上海证券交易所相关规定,对2022年度财务报告进行会计差错更正,并相应修订2022年年度报告相关内容。
本次会计差错更正事项还需提交股东大会审议。
二、具体更正情况及对公司的影响
(一)更正原因
2023年10月27日,公司收到陕西证监局《关于对陕西广电网络传媒(集团)股份有限公司采取责令改正并对王立强、韩普、胡晓莱采取出具警示函措施的决定》(陕证监措施字〔2023〕44号)。公司对涉及事项进行自查,并根据《企业会计准则》规定及业务实际情况对2022年度财务报表进行追溯重述。
(二)更正情况
1.公司对白水及合阳雪亮工程债务重组收益确认依据进一步核实,因款项尚未支付完成,基于谨慎性原则,公司按照相关会计准则规定对2022年度财务报表进行还原,调减投资收益2,028.86万元,调增长期应付款1,560.00万元,调增应付账款468.86万元,调增未确认融资费用373.77万元,调减财务费用373.77万元。
2.公司子公司陕西广电华通投资控股有限公司、宝鸡广电网络传媒有限责任公司软件资产抵账类项目,经自查,2022年度软件过户手续未能完成,根据《企业会计准则第12号一一债务重组(2019年修订)》相关规定,该项业务尚不满足债务重组中涉及的债权终止确认条件。公司按照相关会计准则规定对2022年度财务报表进行更正,调减投资收益586.72万元,调增应收账款410.60万元,调增其他流动资产1,139.91万元,调减无形资产2,343.49万元,调增信用减值损失225.95万元,调减管理费用19.69万元,调增递延所得税资产77.77万元,调减所得税费用77.77万元。
3.结合《企业会计准则第33号一一合并财务报表》第七条、第八条等规定,公司从实缴出资、投资活动等方面能够实际控制陕西广华投资合伙企业(有限合伙)(以下简称“广华投资”),公司按照相关会计准则规定自2022年12月起将广华投资纳入合并报表范围。
公司经更正将广华投资纳入合并报表后,广华投资报表中因购买公司及子公司应收账款和债权资产形成的“交易性金融资产”报表项目,与公司因该项交易形成的“其他流动负债”进行合并抵消。
上述事项调增货币资金498.49万元,调增预付账款251.33万元,调减其他非流动金融资产16,537.00万元,调减其他流动负债15,787.10万元,调增财务费用0.08万元。
4.因广华投资委托第三方间接购买公司及子公司应收账款和债权资产,已完成协议转让,导致公司7,420.92万元资产所有权受限(该部分资产原值15,787.10万元,已计提减值8,366.18万元)。为此,公司对2022年度报告中受限资产的披露金额进行更正,所有权或使用权受到限制的资产价值由原披露的7,507.55万元更正为14,928.47万元。
(三)对报表的影响
1.合并财务报表
(1)对合并资产负债表项目的影响
单位:元
(2)对合并利润表项目的影响
单位:元
(3)对合并现金流量表项目的影响
单位:元
2.母公司财务报表
(1)对母公司资产负债表项目的影响
单位:元
(2)对母公司利润表项目的影响
单位:元
三、监事会和会计师事务所的结论性意见
(一)监事会意见
2024年4月15日,公司召开第九届监事会第七次会议,审议通过《关于前期会计差错更正的议案》。监事会认为,公司根据陕西证监局行政监管措施决定书有关要求进行本次会计差错更正,更正事项和程序符合财政部《企业会计准则第28号一一会计政策、会计估计变更和差错更正》、证监会《公开发行证券的公司信息披露编报规则第19号一一财务信息的更正及相关披露》及上海证券交易所相关规定,更正后的信息能够更加客观、真实、公允地反映公司2022年度的财务状况和经营成果,有利于提高公司财务信息质量。监事会同意公司本次会计差错更正,并相应修订2022年年度报告相关内容。
(二)会计师事务所意见
天职国际会计师事务所(特殊普通合伙)对公司本次前期会计差错更正进行了审核,并与前任注册会计师进行了沟通,于2024年4月15日出具《关于陕西广电网络传媒(集团)股份有限公司前期重大会计差错更正专项说明的审核报告》(天职业字[2024]1909号),认为,广电网络管理层编制的专项说明已按照《企业会计准则第28号一一会计政策会计估计变更和差错更正》、中国证监会《公开发行证券的公司信息披露编报规则第19号一一财务信息的更正及相关披露》和上海证券交易所等相关规定编制,在所有重大方面如实反映了广电网络的前期重大会计差错更正情况。
四、审计委员会审议情况
公司董事会审计委员会于2024年4月15日在公司18楼会议室以现场+视频方式召开第九届董事会审计委员会第十二次会议,听取公司及会计师关于2022年度财务报告会计差错更正情况汇报并进行沟通讨论,经与会委员表决,以3票同意、0票反对、0票弃权,审议通过《关于前期会计差错更正的议案》,发表如下意见:
1.公司按照陕西证监局陕证监措施字〔2023〕44号行政监管措施决定书责令改正要求,经自查相关业务实际开展情况,根据《企业会计准则》相关规定对2022年度财务报告进行会计差错更正,并相应修订2022年年度报告相关内容。就公司本次会计差错更正事项,天职国际会计师事务所进行了专项审计核查。公司本次会计差错更正符合财政部《企业会计准则第28号一一会计政策、会计估计变更和差错更正》、证监会《公开发行证券的公司信息披露编报规则第19号一一财务信息的更正及相关披露》等相关规定,更正后的财务信息能够更加客观、真实、公允地反映公司2022年度的财务状况和经营成果。
2.同意公司本次会计差错更正事项,并同意将本次会计差错更正事项提交董事会审议。
3.要求公司加强财务等相关人员培训,按照企业会计准则进一步规范财务核算管理,严格完善内部控制特别是财务报告相关内部控制的执行,强化对财务会计工作的日常监督和检查,切实提高财务信息质量,坚决杜绝此类问题再次发生,维护公司和全体股东的权益。
五、其他说明
公司本次会计差错更正的具体情况,详见公司与本公告同日披露的《关于前期会计差错更正后的2022年度财务报表及相关附注》。公司根据上述会计差错更正情况对2022年年度报告相关内容进行相应修订,详见公司与本公告同日披露的《2022年年度报告(2024年4月修订版)》。敬请投资者查阅。
因本次会计差错更正给投资者造成的不便,公司深表歉意,敬请投资者谅解。公司将加强财务人员业务规则培训,切实提高公司财务会计信息质量,避免此类问题再次发生。
特此公告。
陕西广电网络传媒(集团)股份有限公司
董 事 会
2024年4月16日
证券代码:600831 证券简称:广电网络 编号:临2024-025号
转债代码:110044 转债简称:广电转债
陕西广电网络传媒(集团)股份有限公司
第九届监事会第七次会议决议公告
本公司监事会及全体监事保证本公告内容不存在任何虚假记载、误导性陈述或者重大遗漏,并对其内容的真实性、准确性和完整性承担个别及连带责任。
2024年4月12日,公司以书面方式通知召开第九届监事会第七次会议。2024年4月15日,会议以通讯方式召开。应参会监事3人,实际参会监事3人,分别是赵汝逊先生、海军先生、常远先生。会议的召集和召开符合《公司法》等有关法律、法规、规范性文件和《公司章程》的规定。
经与会监事投票表决,以3票同意、0票反对、0票弃权,审议通过《关于前期会计差错更正的议案》。
监事会认为,公司根据陕西证监局行政监管措施决定书有关要求进行本次会计差错更正,更正事项和程序符合财政部《企业会计准则第28号一一会计政策、会计估计变更和差错更正》、证监会《公开发行证券的公司信息披露编报规则第19号一一财务信息的更正及相关披露》及上海证券交易所相关规定,更正后的信息能够更加客观、真实、公允地反映公司2022年度的财务状况和经营成果,有利于提高公司财务信息质量。监事会同意公司本次会计差错更正,并相应修订2022年年度报告相关内容。
本项议案还需提交股东大会审议。
特此公告。
陕西广电网络传媒(集团)股份有限公司
监 事 会
2024年4月16日




